当期目录
2026年 第42卷 第1期
2026, 42(1): 1-13.
doi: 10.16032/j.issn.1004-4965.2026.001
摘要:
利用1990—2020年国家气象观测站逐日气温、降水、风速和相对湿度观测资料,分析珠江三角洲(以下简称珠三角)气象环境时空演变特征,并基于土地利用分类数据,定量分析珠三角城市扩张对气象要素变化的影响程度及其贡献率。结果表明:1990—2020年珠三角城市扩张现象明显,建设用地面积占比由5.71%增长至14.99%。区域年平均气温、年降水量呈上升趋势,年大风日数、年小风日数、年相对湿度呈微弱下降趋势。城市扩张造成年平均气温增加,变化率为0.05 ℃·(10 a)-1,贡献率为20.80%;城市扩张造成年降水量增加,变化率为28.80 mm·(10 a)-1,贡献率为46.24%;城市扩张造成年大风日数增加,变化率为1.16 d·(10 a)-1,贡献率为100%;城市扩张造成年相对湿度降低,变化率为-0.84%·(10 a)-1,贡献率为-100%;城市扩张对年小风日数影响不明显。城市扩张对平均气温影响贡献率在冬季最大;对降水量的影响在夏季、秋季高于春季、冬季;对大风日数的影响在春季、秋季、冬季相对较大;对相对湿度的影响在四季均较大;对小风日数的影响在秋季最大。
利用1990—2020年国家气象观测站逐日气温、降水、风速和相对湿度观测资料,分析珠江三角洲(以下简称珠三角)气象环境时空演变特征,并基于土地利用分类数据,定量分析珠三角城市扩张对气象要素变化的影响程度及其贡献率。结果表明:1990—2020年珠三角城市扩张现象明显,建设用地面积占比由5.71%增长至14.99%。区域年平均气温、年降水量呈上升趋势,年大风日数、年小风日数、年相对湿度呈微弱下降趋势。城市扩张造成年平均气温增加,变化率为0.05 ℃·(10 a)-1,贡献率为20.80%;城市扩张造成年降水量增加,变化率为28.80 mm·(10 a)-1,贡献率为46.24%;城市扩张造成年大风日数增加,变化率为1.16 d·(10 a)-1,贡献率为100%;城市扩张造成年相对湿度降低,变化率为-0.84%·(10 a)-1,贡献率为-100%;城市扩张对年小风日数影响不明显。城市扩张对平均气温影响贡献率在冬季最大;对降水量的影响在夏季、秋季高于春季、冬季;对大风日数的影响在春季、秋季、冬季相对较大;对相对湿度的影响在四季均较大;对小风日数的影响在秋季最大。
2026, 42(1): 14-24.
doi: 10.16032/j.issn.1004-4965.2026.002
摘要:
2021年7月,河南发生了持续时间长、降水强度大且致灾严重的“7.20”极端暴雨事件。为了探明此次暴雨过程的水汽关键来源和主要传输通道,本研究利用多源气象数据结合FLEXPART模式开展了水汽轨迹模拟与聚类分析。结果表明,暴雨过程中主要有两条水汽通道,对极端降水的水汽收支有重要贡献。第一条水汽通道与远距离西北太平洋台风“烟花”相连,在降水最强的7月19—21日期间在1 000~700 hPa持续向河南输送大量水汽,输送的中心在1 000~900 hPa之间;第二条通道则与华南近海台风“查帕卡”相连,7月20日向河南输送水汽,主要输送层次位于950~800 hPa之间。两条通道的高度差异主要由地形驱动作用引起,而台风的存在和移动是造成水汽传输变化的关键因素。河南地区上空持续的水汽聚集直接导致了极端暴雨的形成,而双台风的水汽输送对暴雨过程的持续具有重要作用。
2021年7月,河南发生了持续时间长、降水强度大且致灾严重的“7.20”极端暴雨事件。为了探明此次暴雨过程的水汽关键来源和主要传输通道,本研究利用多源气象数据结合FLEXPART模式开展了水汽轨迹模拟与聚类分析。结果表明,暴雨过程中主要有两条水汽通道,对极端降水的水汽收支有重要贡献。第一条水汽通道与远距离西北太平洋台风“烟花”相连,在降水最强的7月19—21日期间在1 000~700 hPa持续向河南输送大量水汽,输送的中心在1 000~900 hPa之间;第二条通道则与华南近海台风“查帕卡”相连,7月20日向河南输送水汽,主要输送层次位于950~800 hPa之间。两条通道的高度差异主要由地形驱动作用引起,而台风的存在和移动是造成水汽传输变化的关键因素。河南地区上空持续的水汽聚集直接导致了极端暴雨的形成,而双台风的水汽输送对暴雨过程的持续具有重要作用。
2026, 42(1): 25-38.
doi: 10.16032/j.issn.1004-4965.2026.003
摘要:
台风“海葵”(2012)受鞍型场影响,在安徽南部维持少动,引发极端降水。为了探究“海葵”进入鞍型场后,其路径及降水预报对模式初始场的敏感性,基于WRF(Weather Research & Forecasting)模式和集合卡尔曼滤波(EnKF,Ensemble Kalman Filter)同化系统,对“海葵”开展了集合预报试验和敏感性试验。结果表明:(1)“海葵”登陆浙江西北行进入安徽境内后,集合预报路径主要分为滞留型、转向东行型和西行型,其中滞留型路径与“海葵”观测路径基本一致。(2)与台风自身环流相比,初始条件中环境场的差异是导致试验中台风移动差异的关键因素。台风移动对初始场中西北模拟区域的大陆高压和中纬度低槽更加敏感。(3)当初始场中大陆高压和低槽强度相当时,减弱的台风环流一直处于大陆高压和副热带高压之间,导致台风在安徽南部停滞,并与冷空气相互作用在皖南-赣北产生强降水。而当初始场中大陆高压弱且低槽较强时,24 h预报中台风虽处于鞍型场中,但大陆高压与副热带高压均偏弱。随着低槽南下,大陆高压减弱西退,副热带高压位置偏东,导致台风转向东北行,在江苏境内产生强降水;反之,当大陆高压强但低槽较弱时,台风持续西行,冷空气受高压阻挡未能直接影响台风降水,导致皖南地区降水相对偏弱。
台风“海葵”(2012)受鞍型场影响,在安徽南部维持少动,引发极端降水。为了探究“海葵”进入鞍型场后,其路径及降水预报对模式初始场的敏感性,基于WRF(Weather Research & Forecasting)模式和集合卡尔曼滤波(EnKF,Ensemble Kalman Filter)同化系统,对“海葵”开展了集合预报试验和敏感性试验。结果表明:(1)“海葵”登陆浙江西北行进入安徽境内后,集合预报路径主要分为滞留型、转向东行型和西行型,其中滞留型路径与“海葵”观测路径基本一致。(2)与台风自身环流相比,初始条件中环境场的差异是导致试验中台风移动差异的关键因素。台风移动对初始场中西北模拟区域的大陆高压和中纬度低槽更加敏感。(3)当初始场中大陆高压和低槽强度相当时,减弱的台风环流一直处于大陆高压和副热带高压之间,导致台风在安徽南部停滞,并与冷空气相互作用在皖南-赣北产生强降水。而当初始场中大陆高压弱且低槽较强时,24 h预报中台风虽处于鞍型场中,但大陆高压与副热带高压均偏弱。随着低槽南下,大陆高压减弱西退,副热带高压位置偏东,导致台风转向东北行,在江苏境内产生强降水;反之,当大陆高压强但低槽较弱时,台风持续西行,冷空气受高压阻挡未能直接影响台风降水,导致皖南地区降水相对偏弱。
2026, 42(1): 39-52.
doi: 10.16032/j.issn.1004-4965.2026.004
摘要:
为利用相控阵双偏振雷达研究浙江风雹过程的动力和微物理特征,基于X波段相控阵雷达观测数据及风场反演、粒子识别等产品,对2023年7月10日浙江风雹过程进行分析。结果表明:风暴发生在高能、垂直不稳定和弱垂直风切变的环境场中。降雹风暴较极端大风风暴更强,发展高度更高,且为后向传播型风暴。降雹过程中,水平极化反射率因子(ZH)和差分相移率(KDP)质心下沉,低层差分反射率(ZDR)减小,相关系数(CC)小值区先向上伸展再下沉,冰相粒子下落,降至地面为雨夹雹。极端大风风暴在盆地中发展,地形辐合使得风暴强度增强。极端大风来临时,ZH和KDP质心迅速下降至近地面,降水粒子下落拖拽加强下沉气流,中层径向辐合速度对水平收缩、垂直拉伸以及近地面出现辐散速度对表征局地下击暴流的发生,同时,下坡地形和盆地狭管效应进一步加速了近地面大风。
为利用相控阵双偏振雷达研究浙江风雹过程的动力和微物理特征,基于X波段相控阵雷达观测数据及风场反演、粒子识别等产品,对2023年7月10日浙江风雹过程进行分析。结果表明:风暴发生在高能、垂直不稳定和弱垂直风切变的环境场中。降雹风暴较极端大风风暴更强,发展高度更高,且为后向传播型风暴。降雹过程中,水平极化反射率因子(ZH)和差分相移率(KDP)质心下沉,低层差分反射率(ZDR)减小,相关系数(CC)小值区先向上伸展再下沉,冰相粒子下落,降至地面为雨夹雹。极端大风风暴在盆地中发展,地形辐合使得风暴强度增强。极端大风来临时,ZH和KDP质心迅速下降至近地面,降水粒子下落拖拽加强下沉气流,中层径向辐合速度对水平收缩、垂直拉伸以及近地面出现辐散速度对表征局地下击暴流的发生,同时,下坡地形和盆地狭管效应进一步加速了近地面大风。
2026, 42(1): 53-68.
doi: 10.16032/j.issn.1004-4965.2026.005
摘要:
利用广州不同波段双极化天气雷达及风廓线雷达等新型观测资料,研究分析2024年4月27日广州白云超级单体强龙卷的环境潜势及风暴结构特征。此次龙卷出现在西太平洋副热带高压及高原南侧西南风持续偏强的背景下,当日大气呈上干下湿的“喇叭状”层结,早上抬升凝结高度(LCL)很低约180 m,能量充沛(对流有效位能(CAPE)均值约为2500 J·kg-1,对流抑制(CIN)为0,0~3 km平均垂直风切变较大(17 m·s-1),具备利于强龙卷发生发展的能量和动力条件。造成此次龙卷的超级单体风暴发展时间长且反复多次增强,龙卷出现在两个峰值之间的相对低值时段,预报预警难度大。龙卷母体风暴的钩状回波和中气旋特征并具有“下降式”发展特征,受地面摩擦影响小,风暴发展更充分;母体风暴下沉气流形成冷池,最强冷池中心温度低至22 ℃,范围约30 km,冷池前侧与暖湿气流辐合处形成阵风锋,加强风暴底层的辐合抬升,使得中气旋到达地面后更加剧烈;龙卷发生前中气旋垂直涡度为0.026 s-1,龙卷涡旋特征(TVS)垂直涡度为0.46 s-1。此外,XPAR-D较CINRAD/SA-D捕捉到了清晰的TVS、龙卷碎片特征(TDS)等龙卷特征,以及低仰角钩状回波的精细演变过程,在实际业务中形成优势互补,能够更好地刻画局地强对流云团的发生发展,为短临预报预警提供重要的技术支撑。
利用广州不同波段双极化天气雷达及风廓线雷达等新型观测资料,研究分析2024年4月27日广州白云超级单体强龙卷的环境潜势及风暴结构特征。此次龙卷出现在西太平洋副热带高压及高原南侧西南风持续偏强的背景下,当日大气呈上干下湿的“喇叭状”层结,早上抬升凝结高度(LCL)很低约180 m,能量充沛(对流有效位能(CAPE)均值约为2500 J·kg-1,对流抑制(CIN)为0,0~3 km平均垂直风切变较大(17 m·s-1),具备利于强龙卷发生发展的能量和动力条件。造成此次龙卷的超级单体风暴发展时间长且反复多次增强,龙卷出现在两个峰值之间的相对低值时段,预报预警难度大。龙卷母体风暴的钩状回波和中气旋特征并具有“下降式”发展特征,受地面摩擦影响小,风暴发展更充分;母体风暴下沉气流形成冷池,最强冷池中心温度低至22 ℃,范围约30 km,冷池前侧与暖湿气流辐合处形成阵风锋,加强风暴底层的辐合抬升,使得中气旋到达地面后更加剧烈;龙卷发生前中气旋垂直涡度为0.026 s-1,龙卷涡旋特征(TVS)垂直涡度为0.46 s-1。此外,XPAR-D较CINRAD/SA-D捕捉到了清晰的TVS、龙卷碎片特征(TDS)等龙卷特征,以及低仰角钩状回波的精细演变过程,在实际业务中形成优势互补,能够更好地刻画局地强对流云团的发生发展,为短临预报预警提供重要的技术支撑。
2026, 42(1): 69-82.
doi: 10.16032/j.issn.1004-4965.2026.006
摘要:
过往基于观测站点对PM2.5浓度时空特征的揭示并不完整,本文评估了珠江三角洲城市群PM2.5遥感反演数据的准确性,并基于遥感反演数据进一步探讨了PM2.5年均、季均和月均浓度的时空格局变化及影响因素。2015—2022年的校验结果表明,遥感反演数据在珠三角城市群的准确度较高(R2:0.964~0.998),通过分段线性回归分析发现,2000—2022年PM2.5年均浓度在时间上呈现“上升-停滞-下降”的阶段特征,转折点为2004年和2013年(R2=0.943 6),主要影响因素为政府政策;空间上呈现“中心高,四周低”的分异规律,广佛(广州佛山)交界处基本为PM2.5污染的重心,污染最轻的区域为珠海、惠州东南部和江门南部。此外,扩展经验正交函数(EEOF)和小波分析结果表明,PM2.5浓度还具有显著的季节变化规律,具体表现为“秋冬高,春夏低”。以高污染时期(2003—2014年)为例,PM2.5月均浓度值在全年内呈现“先降后升”的趋势,1月最高(62.55 μg·m-3),7月最低(22.53 μg·m-3),降水是其主要影响因素;空间上,PM2.5浓度高的月份(10月—次年1月),污染范围向南扩散至江门和珠海,且不同地区的污染浓度差距较大。该研究结果可以为城市群的大气污染联防联控提供理论支撑。
过往基于观测站点对PM2.5浓度时空特征的揭示并不完整,本文评估了珠江三角洲城市群PM2.5遥感反演数据的准确性,并基于遥感反演数据进一步探讨了PM2.5年均、季均和月均浓度的时空格局变化及影响因素。2015—2022年的校验结果表明,遥感反演数据在珠三角城市群的准确度较高(R2:0.964~0.998),通过分段线性回归分析发现,2000—2022年PM2.5年均浓度在时间上呈现“上升-停滞-下降”的阶段特征,转折点为2004年和2013年(R2=0.943 6),主要影响因素为政府政策;空间上呈现“中心高,四周低”的分异规律,广佛(广州佛山)交界处基本为PM2.5污染的重心,污染最轻的区域为珠海、惠州东南部和江门南部。此外,扩展经验正交函数(EEOF)和小波分析结果表明,PM2.5浓度还具有显著的季节变化规律,具体表现为“秋冬高,春夏低”。以高污染时期(2003—2014年)为例,PM2.5月均浓度值在全年内呈现“先降后升”的趋势,1月最高(62.55 μg·m-3),7月最低(22.53 μg·m-3),降水是其主要影响因素;空间上,PM2.5浓度高的月份(10月—次年1月),污染范围向南扩散至江门和珠海,且不同地区的污染浓度差距较大。该研究结果可以为城市群的大气污染联防联控提供理论支撑。
2026, 42(1): 83-93.
doi: 10.16032/j.issn.1004-4965.2026.007
摘要:
基于第六次耦合模式比较计划(Coupled Model Intercomparison Project Phase 6, 简称CMIP6)的18个气候模式模拟数据,采用了控制试验(piControl)作为稳定气候状态的参考,使用突然4倍CO2强迫试验(abrupt-4×CO2)来模拟极端温室气体排放情景下的气候响应,并利用气候反馈响应分析方法(CFRAM),定量评估了外强迫、各辐射反馈过程和非辐射过程对广东省增暖及其不确定性的贡献。结果显示,广东省的增暖幅度在不同模式间存在差异,增暖范围为3.71~7.07 ℃,集中在4.42~5.40 ℃之间,且增暖在西部和北部最显著。对于多模式集合平均的增暖进行了定量归因分析,气候反馈响应分析表明,水汽反馈和二氧化碳强迫是主要的增暖驱动力,分别贡献了4.92 ℃和2.42 ℃。地表热存储和云反馈也对增暖有显著正贡献,而地表感热通量和潜热通量则表现出降温效应。在不确定性分析中,云短波辐射效应、地表感热通量和地表热存储是主要的不确定性来源,这些不确定性主要来自模式在云层物理、地表能量平衡和热量再分配方面的差异,未来研究应重点关注这些过程以提高区域气候变化预估的准确性。
基于第六次耦合模式比较计划(Coupled Model Intercomparison Project Phase 6, 简称CMIP6)的18个气候模式模拟数据,采用了控制试验(piControl)作为稳定气候状态的参考,使用突然4倍CO2强迫试验(abrupt-4×CO2)来模拟极端温室气体排放情景下的气候响应,并利用气候反馈响应分析方法(CFRAM),定量评估了外强迫、各辐射反馈过程和非辐射过程对广东省增暖及其不确定性的贡献。结果显示,广东省的增暖幅度在不同模式间存在差异,增暖范围为3.71~7.07 ℃,集中在4.42~5.40 ℃之间,且增暖在西部和北部最显著。对于多模式集合平均的增暖进行了定量归因分析,气候反馈响应分析表明,水汽反馈和二氧化碳强迫是主要的增暖驱动力,分别贡献了4.92 ℃和2.42 ℃。地表热存储和云反馈也对增暖有显著正贡献,而地表感热通量和潜热通量则表现出降温效应。在不确定性分析中,云短波辐射效应、地表感热通量和地表热存储是主要的不确定性来源,这些不确定性主要来自模式在云层物理、地表能量平衡和热量再分配方面的差异,未来研究应重点关注这些过程以提高区域气候变化预估的准确性。
2026, 42(1): 94-104.
doi: 10.16032/j.issn.1004-4965.2026.013
摘要:
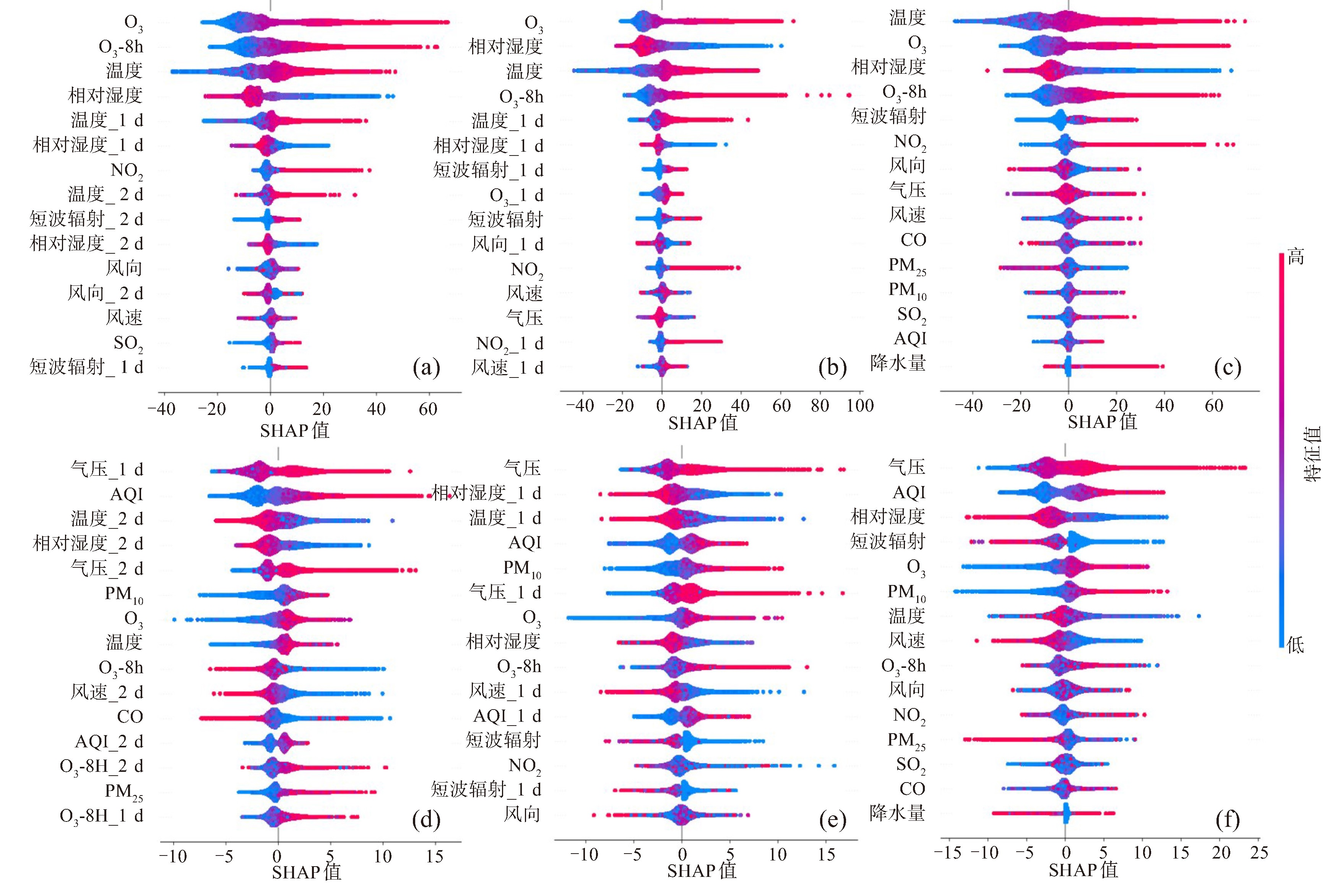
为了提升空气质量模式对广州市O3和PM2.5浓度预报精度,基于广州市国控站的O3和PM2.5浓度观测以及模式逐小时预报数据,使用Lightgbm算法对0~24小时、24~48小时、48~72小时三种时效的O3和PM2.5浓度模式预报建立订正模型,并利用SHAP方法对订正模型进行解释分析。结果表明:Lightgbm订正模型能够较好提升各站点以及各预报时效的O3和PM2.5浓度预报,订正后各站点的误差分布更一致且明显减小,随着预报时效的增加,订正模型对预报提升的效果略有降低。从各时效总体的订正效果看,O3浓度与观测间的均方根误差、平均绝对偏差、相关系数分别由39.5 μg·m-3、30.3 μg·m-3、0.61提升为23.3 μg·m-3、16.9 μg·m-3、0.86,PM2.5浓度与观测间的均方根误差、平均绝对偏差、相关系数分别由18.3 μg·m-3、12.7 μg·m-3、0.26提升为9.7 μg·m-3、6.9 μg·m-3、0.76。不同时效订正模型中的重要特征差异不大,对于O3浓度订正模型,最重要的特征主要有O3浓度、温度、相对湿度、NO2、短波辐射、风向风速等,对于PM2.5浓度订正模型,最重要的特征主要有气压、空气质量指数、温度、相对湿度、气压、PM10、O3、风向风速等,各特征对订正模型的影响符合O3和PM2.5的生成和累积机理。个例分析进一步证明了订正模型的效果和实用性。
为了提升空气质量模式对广州市O3和PM2.5浓度预报精度,基于广州市国控站的O3和PM2.5浓度观测以及模式逐小时预报数据,使用Lightgbm算法对0~24小时、24~48小时、48~72小时三种时效的O3和PM2.5浓度模式预报建立订正模型,并利用SHAP方法对订正模型进行解释分析。结果表明:Lightgbm订正模型能够较好提升各站点以及各预报时效的O3和PM2.5浓度预报,订正后各站点的误差分布更一致且明显减小,随着预报时效的增加,订正模型对预报提升的效果略有降低。从各时效总体的订正效果看,O3浓度与观测间的均方根误差、平均绝对偏差、相关系数分别由39.5 μg·m-3、30.3 μg·m-3、0.61提升为23.3 μg·m-3、16.9 μg·m-3、0.86,PM2.5浓度与观测间的均方根误差、平均绝对偏差、相关系数分别由18.3 μg·m-3、12.7 μg·m-3、0.26提升为9.7 μg·m-3、6.9 μg·m-3、0.76。不同时效订正模型中的重要特征差异不大,对于O3浓度订正模型,最重要的特征主要有O3浓度、温度、相对湿度、NO2、短波辐射、风向风速等,对于PM2.5浓度订正模型,最重要的特征主要有气压、空气质量指数、温度、相对湿度、气压、PM10、O3、风向风速等,各特征对订正模型的影响符合O3和PM2.5的生成和累积机理。个例分析进一步证明了订正模型的效果和实用性。
2026, 42(1): 105-121.
doi: 10.16032/j.issn.1004-4965.2026.009
摘要:
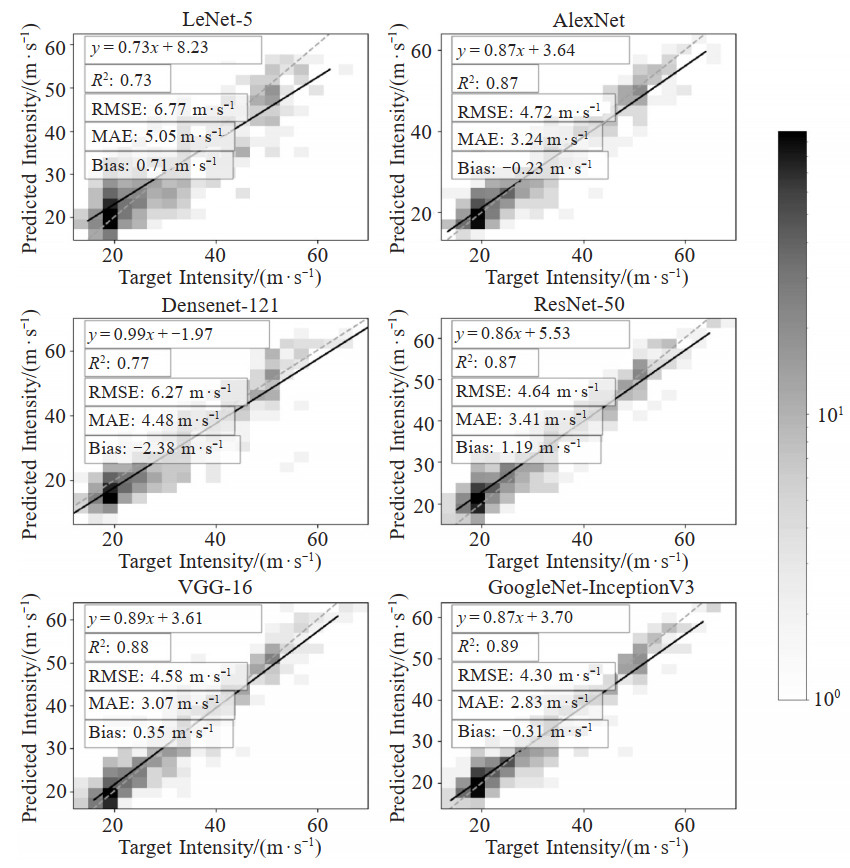
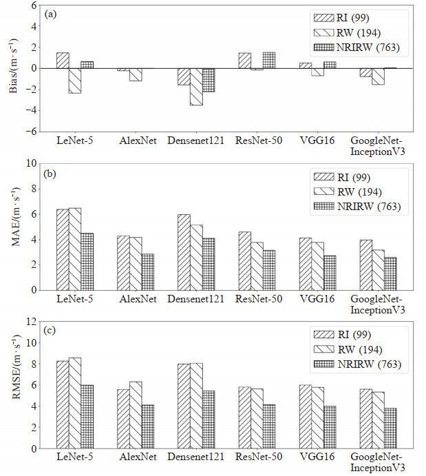
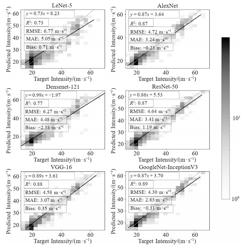
台风是严重影响沿海地区的自然灾害,准确监测其强度对于防灾减灾具有重要意义。基于卫星观测结合深度学习技术已成为台风强度监测的新一代方法,然而不同深度学习方法的准确度并不明确。因此,本文评估了六种基于深度学习的卷积神经网络模型在西太平洋台风强度监测中的表现。本研究利用2015—2024年Himawari-8/9卫星云产品数据和中国气象局台风最佳路径数据,对比分析了LeNet-5、AlexNet、DenseNet-121、VGG-16、ResNet-50以及GoogleNet-InceptionV3等模型的计算效果。本文不仅探讨了这些模型在不同强度台风场景下的适用性和性能表现,还对模型的特征提取步骤进行可视化,旨在更清晰地说明模型之间的差异以及模型工作原理。结果表明,LeNet-5与AlexNet在极弱(TD)和极强(SuperTY)级别下偏差最大;DenseNet-121在各强度下Bias分布较为平均;ResNet-50、VGG-16和GoogleNet-InceptionV3则在中等强度范围(TS、STS、TY、STY)内表现较为稳定。总体来看,GoogleNet-InceptionV3模型估计准确度最高(R2=0.89),但ResNet-50运行速度更快(R2=0.87)。
台风是严重影响沿海地区的自然灾害,准确监测其强度对于防灾减灾具有重要意义。基于卫星观测结合深度学习技术已成为台风强度监测的新一代方法,然而不同深度学习方法的准确度并不明确。因此,本文评估了六种基于深度学习的卷积神经网络模型在西太平洋台风强度监测中的表现。本研究利用2015—2024年Himawari-8/9卫星云产品数据和中国气象局台风最佳路径数据,对比分析了LeNet-5、AlexNet、DenseNet-121、VGG-16、ResNet-50以及GoogleNet-InceptionV3等模型的计算效果。本文不仅探讨了这些模型在不同强度台风场景下的适用性和性能表现,还对模型的特征提取步骤进行可视化,旨在更清晰地说明模型之间的差异以及模型工作原理。结果表明,LeNet-5与AlexNet在极弱(TD)和极强(SuperTY)级别下偏差最大;DenseNet-121在各强度下Bias分布较为平均;ResNet-50、VGG-16和GoogleNet-InceptionV3则在中等强度范围(TS、STS、TY、STY)内表现较为稳定。总体来看,GoogleNet-InceptionV3模型估计准确度最高(R2=0.89),但ResNet-50运行速度更快(R2=0.87)。
2026, 42(1): 122-131.
doi: 10.16032/j.issn.1004-4965.2026.010
摘要:
针对传统风场预测方法中存在的精度不足和时效性差等问题,引入了Informer模型,提高了对福建省厦门高崎国际机场长时间序列气象数据的预测准确度。相较于传统模型,Informer模型在处理风场时间序列数据中的概率稀疏自注意力机制和自注意力蒸馏技术,能够高效捕捉数据中的长期依赖关系和复杂特征。在60 min预测以及季节性变化中,Informer模型表现出了强大的稳健性和高效性。此外,还对比了不同风场变化对模型预测的影响,发现Informer模型在不同风场条件下均能更好地保持稳定预测性能,进一步验证了其广泛适用性和鲁棒性。通过提高预测精度和时效性,本研究不仅为航空气象服务提供了更精准的风速和风向预测,有助于保障航空器飞行安全、优化航班调度及提升能源利用效率,同时还为短期天气预报等领域带来了积极影响,提供了新的研究思路和解决方案,对于推动深度学习在气象预测中的应用具有重要意义。
针对传统风场预测方法中存在的精度不足和时效性差等问题,引入了Informer模型,提高了对福建省厦门高崎国际机场长时间序列气象数据的预测准确度。相较于传统模型,Informer模型在处理风场时间序列数据中的概率稀疏自注意力机制和自注意力蒸馏技术,能够高效捕捉数据中的长期依赖关系和复杂特征。在60 min预测以及季节性变化中,Informer模型表现出了强大的稳健性和高效性。此外,还对比了不同风场变化对模型预测的影响,发现Informer模型在不同风场条件下均能更好地保持稳定预测性能,进一步验证了其广泛适用性和鲁棒性。通过提高预测精度和时效性,本研究不仅为航空气象服务提供了更精准的风速和风向预测,有助于保障航空器飞行安全、优化航班调度及提升能源利用效率,同时还为短期天气预报等领域带来了积极影响,提供了新的研究思路和解决方案,对于推动深度学习在气象预测中的应用具有重要意义。
2026, 42(1): 132-152.
doi: 10.16032/j.issn.1004-4965.2026.011
摘要:
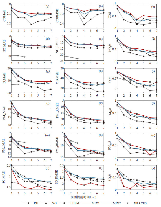
近年广州市大气污染的主要问题是持续性污染逐渐增多,O3污染比例明显增多。为提高空气质量预报能力,基于环境监测数据和气象观测数据,使用梁氏-克里曼信息流对影响CO、NO2、O3、PM2.5、PM10、SO2大气污染物浓度的数据进行因果分析筛选影响因子,基于随机森林(RF)、极限梯度提升(XGboost)和长短期记忆神经网络(LSTM)算法进行融合建模共得到RF、XG、LSTM及融合模型MIX1、MIX2共5个污染物浓度预报模型,进而计算AQI和首要污染物,得到5个空气质量预报模型。结果表明,MIX1、MIX2融合模型整体优于RF、XGboost和LSTM单一模型。对于污染物浓度预报,MIX1模型CO、NO2、O3浓度预报最优,MIX2模型PM10、PM2.5、SO2预报最优。对于空气质量预报,提前1~2天的预报MIX2模型最优,提前3~7天的预报MIX1模型最优。MIX1、MIX2模型1~7天的首要污染预报准确率分别为71.26%~83.33%、73.71%~81.11%。MIX1、MIX2模型提前1~3天的污染物浓度和空气质量预报及提前1~7天的首要污染物预报可信度较高,可以为环境管理部门采取适当的控制措施提供参考。
近年广州市大气污染的主要问题是持续性污染逐渐增多,O3污染比例明显增多。为提高空气质量预报能力,基于环境监测数据和气象观测数据,使用梁氏-克里曼信息流对影响CO、NO2、O3、PM2.5、PM10、SO2大气污染物浓度的数据进行因果分析筛选影响因子,基于随机森林(RF)、极限梯度提升(XGboost)和长短期记忆神经网络(LSTM)算法进行融合建模共得到RF、XG、LSTM及融合模型MIX1、MIX2共5个污染物浓度预报模型,进而计算AQI和首要污染物,得到5个空气质量预报模型。结果表明,MIX1、MIX2融合模型整体优于RF、XGboost和LSTM单一模型。对于污染物浓度预报,MIX1模型CO、NO2、O3浓度预报最优,MIX2模型PM10、PM2.5、SO2预报最优。对于空气质量预报,提前1~2天的预报MIX2模型最优,提前3~7天的预报MIX1模型最优。MIX1、MIX2模型1~7天的首要污染预报准确率分别为71.26%~83.33%、73.71%~81.11%。MIX1、MIX2模型提前1~3天的污染物浓度和空气质量预报及提前1~7天的首要污染物预报可信度较高,可以为环境管理部门采取适当的控制措施提供参考。
2026, 42(1): 153-164.
doi: 10.16032/j.issn.1004-4965.2026.012
摘要:
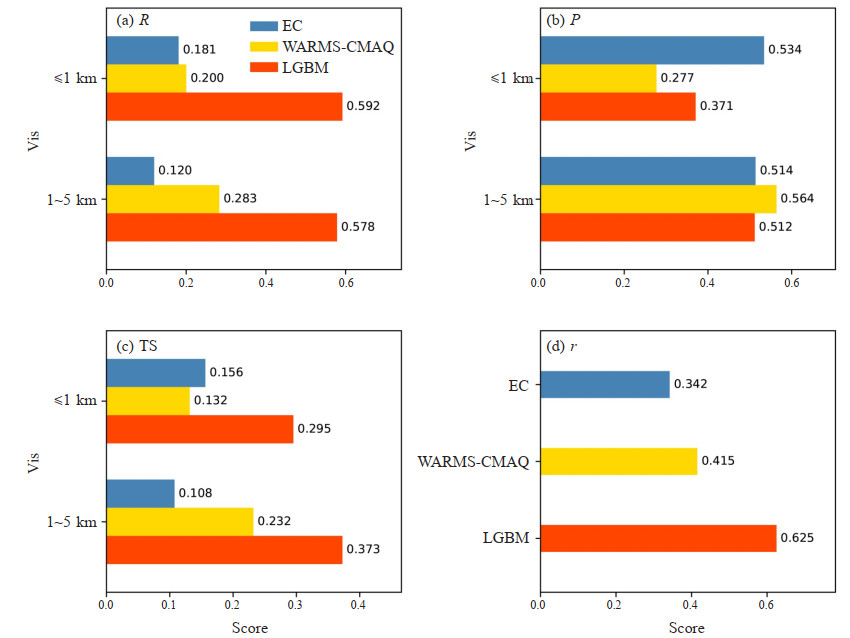
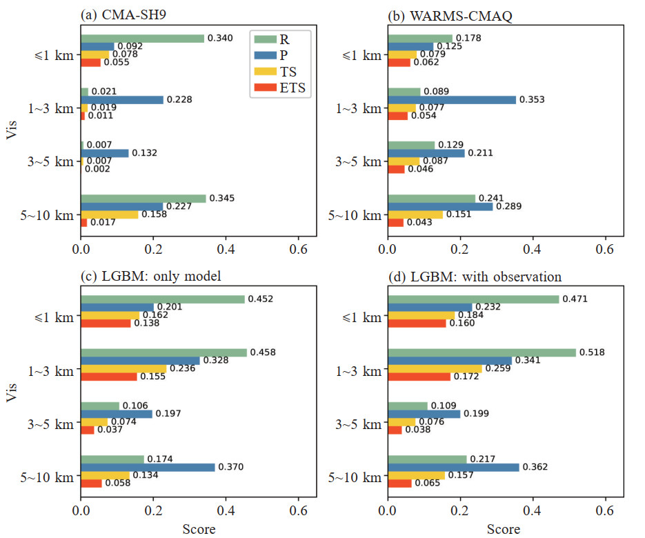
为提升上海地区大雾等低能见度天气的预报能力,基于机器学习方法建立能见度预报优化模型。研究基于2019年—2023年华东区域业务模式CMA-SH9和天气环境一体化模式WARMS-CMAQ的逐小时预报产品,结合站点能见度等历史气象观测资料,使用LightGBM算法进行建模。为应对低能见度样本稀少导致的观测数据不平衡问题,研究将能见度预报构建为分类任务,并通过数据预清洗以及为不同能见度等级设置差异化权重系数的方式,增强模型对低能见度样本的关注,最终以前两类低能见度事件(vis≤1 km和1 km < vis≤3 km)的TS评分作为核心评估标准。测试集和后续独立运行阶段的评估结果表明,相较于数值模式,机器学习优化模型对能见度的预报评分有显著提升,尤其对于低能见度天气(vis≤1 km)的命中率,从模式的20%左右提升至近60%,TS评分也提升至近0.3。同时,典型案例分析显示LGBM优化模型能够准确地模拟2023年12月份以来的几次大雾过程,且对于大部分过程雾发生和消亡的时间预报与观测更为接近,表明该优化模型相较于传统数值模式能够大幅度提升对大雾过程的模拟能力。
为提升上海地区大雾等低能见度天气的预报能力,基于机器学习方法建立能见度预报优化模型。研究基于2019年—2023年华东区域业务模式CMA-SH9和天气环境一体化模式WARMS-CMAQ的逐小时预报产品,结合站点能见度等历史气象观测资料,使用LightGBM算法进行建模。为应对低能见度样本稀少导致的观测数据不平衡问题,研究将能见度预报构建为分类任务,并通过数据预清洗以及为不同能见度等级设置差异化权重系数的方式,增强模型对低能见度样本的关注,最终以前两类低能见度事件(vis≤1 km和1 km < vis≤3 km)的TS评分作为核心评估标准。测试集和后续独立运行阶段的评估结果表明,相较于数值模式,机器学习优化模型对能见度的预报评分有显著提升,尤其对于低能见度天气(vis≤1 km)的命中率,从模式的20%左右提升至近60%,TS评分也提升至近0.3。同时,典型案例分析显示LGBM优化模型能够准确地模拟2023年12月份以来的几次大雾过程,且对于大部分过程雾发生和消亡的时间预报与观测更为接近,表明该优化模型相较于传统数值模式能够大幅度提升对大雾过程的模拟能力。

粤公网安备 4401069904700003号