ISSN 1004-4965

CN 44-1326/P

用微信扫描二维码

分享至好友和朋友圈

留言板

尊敬的读者、作者、审稿人, 关于本刊的投稿、审稿、编辑和出版的任何问题, 您可以本页添加留言。我们将尽快给您答复。谢谢您的支持!

姓名
邮箱
手机号码
标题
留言内容
验证码

地形引导的多尺度残差密集网络CMIP6全球气候模式降尺度研究

程勇 顾雅康 王军 王沂萱 王伟 何佳信

程勇, 顾雅康, 王军, 王沂萱, 王伟, 何佳信. 地形引导的多尺度残差密集网络CMIP6全球气候模式降尺度研究[J]. 热带气象学报, 2025, 41(5): 612-625. doi: 10.16032/j.issn.1004-4965.2025.052
引用本文: 程勇, 顾雅康, 王军, 王沂萱, 王伟, 何佳信. 地形引导的多尺度残差密集网络CMIP6全球气候模式降尺度研究[J]. 热带气象学报, 2025, 41(5): 612-625. doi: 10.16032/j.issn.1004-4965.2025.052
CHENG Yong, GU Yakang, WANG Jun, WANG Yixuan, WANG Wei, HE Jiaxin. Study of Downscaling from CMIP6 Global Climate Model by Using Terrain-Guided Multi-Scale Residual Dense Network[J]. Journal of Tropical Meteorology, 2025, 41(5): 612-625. doi: 10.16032/j.issn.1004-4965.2025.052
Citation: CHENG Yong, GU Yakang, WANG Jun, WANG Yixuan, WANG Wei, HE Jiaxin. Study of Downscaling from CMIP6 Global Climate Model by Using Terrain-Guided Multi-Scale Residual Dense Network[J]. Journal of Tropical Meteorology, 2025, 41(5): 612-625. doi: 10.16032/j.issn.1004-4965.2025.052

地形引导的多尺度残差密集网络CMIP6全球气候模式降尺度研究

doi: 10.16032/j.issn.1004-4965.2025.052
基金项目: 

国家重点研发计划项目 2023YFE0208100

国家自然科学基金项目 41975183

国家自然科学基金项目 41975184

详细信息
    通讯作者:

    顾雅康,男,江苏省人,硕士研究生,主要从事深度学习、降尺度、气候变化等研究。Email: holddestiny@nuist.edu.cn

  • 中图分类号: P456.7

Study of Downscaling from CMIP6 Global Climate Model by Using Terrain-Guided Multi-Scale Residual Dense Network

  • 摘要: CMIP6全球气候模式是预测未来气候变化的重要工具之一,然而其输出数据的空间分辨率较为粗糙(通常大于1 °),难以直接应用于区域尺度气候变化研究。为此,本文提出一种地形引导的多尺度残差密集网络(Terrain-Guided Multi-Scale Residual Dense Network,TGMSRDN)降尺度模型,旨在提高应用于中国西南地区全球气候模式日平均气温数据的空间分辨率和精度。具体而言,该模型构建一种多尺度残差密集块,用于从粗分辨率气温数据中提取多尺度特征信息。此外,为充分利用地形信息,本文提出一种地形引导网络,该网络采用注意力机制有效聚合气温数据与地形信息,从而更精细地恢复了气温数据的空间细节。在中国西南地区进行的对比实验表明,TGMSRDN能够有效地将全球气候模式日平均气温空间分辨率由1 °提升到0.1 °,效果优于其它对比方法。最后,本文应用所提模型对研究区域2015—2050年在四种预估情景下(SSP1-2.6、SSP2-4.5、SSP3-7.0、SSP5-8.5)气温预估数据进行降尺度分析。结果显示,四种情景下研究区域年平均气温均呈上升趋势,特别是在SSP5-8.5情景下,至2050年研究区域的升温幅度将超过1.5 ℃。

     

  • 图  1  研究区域

    红色矩形区域代表中国西南地区。

    图  2  TGMSRDN网络结构

    图  3  多尺度残差密集块

    图  4  地形引导网络

    图  5  各方法预估值与CMFD之间的偏差空间分布图

    图  6  各方法空间偏差分布直方图统计

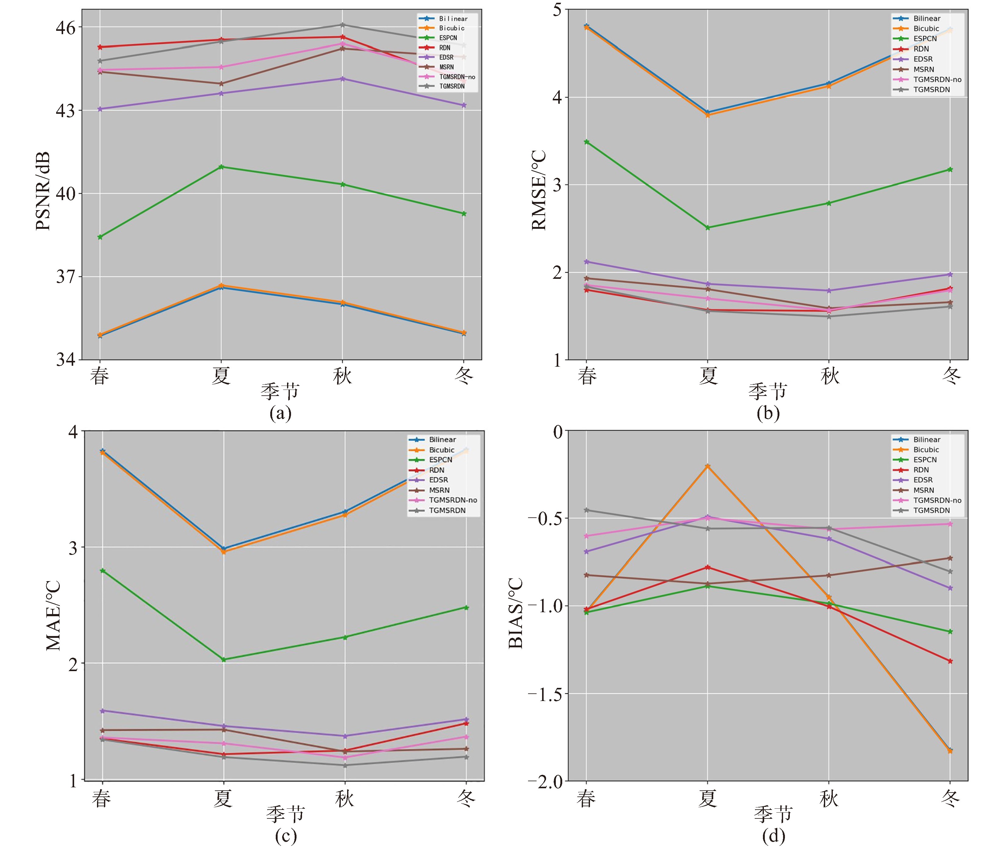
    图  7  各方法季节尺度评估结果趋势图

    图  8  四种情景下中国西南地区2015—2050年平均气温变化趋势

    图  9  2015—2050年各情景下月平均气温趋势

    图  10  2050年相较于2015年同月的月平均温差空间分布

    a.6月,SSP1-2.6;b.6月,SSP5-8.5;c.11月,SSP1-2.6;d.11月,SSP5-8.5。

    表  1  14个CMIP6全球气候模式的基本信息

    研究机构 模式名称 分辨率(/经向网格数×纬向网格数)
    AWI AWI-CM-1-1-MR 192×384
    BCC BCC-CSM2-MR 160×320
    CAMS CAMS-CSM1-0 160×320
    NCAR CESM2 192×288
    NCAR CESM2-WACCM 192×288
    CMCC CMCC-CM2-SR5 192×288
    CMCC CMCC-ESM2 192×288
    EC-Earth-Consortium EC-Earth3 256×512
    NOAA-GFDL GFDL-ESM4 180×288
    INM INM-CM4-8 120×180
    INM INM-CM5-0 120×180
    MPI-M MPI-ESM1-2-HR 192×384
    MRI MRI-ESM2-0 160×320
    AS-RCEC TaiESM1 192×288
    下载: 导出CSV

    表  2  各方法日尺度降尺度效果定量评估结果(粗体表示最佳)

    方法 平均
    PSNR RMSE MSE MAE BIAS SSIM
    Bilinear 35.60 4.41 19.46 3.48 -0.99 0.05
    Bicubic 35.66 4.38 19.23 3.46 -1.00 0.06
    ESPCN 39.75 3.01 9.08 2.38 -1.01 0.792
    RDN 45.13 1.68 2.85 1.32 -1.02 0.891
    MSRN 44.62 1.75 3.07 1.33 -0.81 0.897
    EDSR 43.49 1.94 3.77 1.48 -0.67 0.869
    TGMSRDN-no 44.66 1.73 2.99 1.30 -0.59 0.882
    TGMSRDN 45.41 1.62 2.65 1.21 -0.55 0.903
    下载: 导出CSV

    表  3  各方法季节尺度评价指标结果(粗体表示最佳,数值为“春/夏/秋/冬”)

    方法 PSNR RMSE MAE BIAS
    Bilinear 34.86/36.60/36.00/34.94 4.81/3.82/4.15/4.77 3.82/2.98/3.29/3.83 -1.03/-0.20/-0.94/-1.82
    Bicubic 34.90/36.68/36.07/34.98 4.79/3.79/4.12/4.75 3.80/2.95/3.27/3.81 -1.03/-0.20/-0.95/-1.82
    ESPCN 38.43/40.96/40.33/39.27 3.49/2.50/2.79/3.17 2.79/2.02/2.22/2.47 -1.03/-0.88/-0.98/-1.14
    RDN 45.27/45.53/45.63/44.05 1.79/1.56/1.55/1.81 1.34/1.21/1.24/1.47 -1.01/-0.77/-1.00/-1.31
    EDSR 43.05/43.61/44.14/43.18 2.12/1.86/1.79/1.97 1.59/1.45/1.37/1.51 -0.69/-0.49/-0.61/-0.89
    MSRN 44.38/43.96/45.22/44.92 1.93/1.80/1.58/1.65 1.42/1.42/1.23/1.26 -0.82/-0.87/-0.82/-0.72
    TGMSRDN-no 44.45/44.55/45.39/44.23 1.85/1.70/1.56/1.79 1.35/1.30/1.18/1.36 -0.45 /-0.56/-0.55/-0.80
    TGMSRDN 44.78/45.46/46.07/45.34 1.83/1.55/1.49/1.60 1.34/1.18/1.18/1.19 -0.60/-0.50/-0.56/-0.53
    下载: 导出CSV
  • [1] CALVIN K, DASGUPTA D, KRINNER A, et al. IPCC, 2023: Climate Change 2023: Synthesis Report. Contribution of Working Groups Ⅰ, Ⅱ and Ⅲ to the Sixth Assessment Report of the Intergovernmental Panel on Climate Change[Core Writing Team, H. Lee and J. Romero (eds. )][R]. IPCC, Geneva, Switzerland, 2023.
    [2] ALLEN M, DUBE O P, SOLECKI W, et al. Special Report: Global Warming of 1.5 ℃[R]. Intergovernmental Panel on Climate Change (IPCC), 2018.
    [3] DOURY A, SOMOT S, GADAT S, et al. Regional climate model emulator based on deep learning: Concept and first evaluation of a novel hybrid downscaling approach[J]. Climate Dyn, 2023, 60(5-6): 1 751-1 779.
    [4] SHARIFI E, SAGHAFIAN B, STEINACKER R. Downscaling satellite precipitation estimates with multiple linear regression, artificial neural networks, and spline interpolation techniques[J]. J Geophys Res Atmos, 2019, 124(2): 789-805.
    [5] EBRAHIMY H, AGHIGHI H, AZADBAKHT M, et al. Downscaling MODIS land surface temperature product using an adaptive random forest regression method and Google Earth Engine for a 19-years spatiotemporal trend analysis over Iran[J]. IEEE J Sel Topics Appl Earth Observ Remote Sens, 2021, 14: 2 103-2 112.
    [6] TRIPATHI S, SRINIVAS V V, NANJUNDIAH R S. Downscaling of precipitation for climate change scenarios: A support vector machine approach[J]. J Hydrol, 2006, 330(3-4): 621-640
    [7] CHENG Y, WANG W, REN Z P, et al. Multi-scale feature fusion and transformer network for urban green space segmentation from high-resolution remote sensing images[J]. Int J Appl Earth Ob Geoinf, 2023, 124: 103 514.
    [8] WANG W, CHENG Y, REN Z P, et al. A novel hybrid method for urban green space segmentation from high-resolution remote sensing images[J]. Remote Sens, 2023, 15(23): 5 472.
    [9] LIU M, FU B L, XIE S Y, et al. Comparison of multi-source satellite images for classifying marsh vegetation using DeepLabV3 Plus deep learning algorithm[J]. Ecol Indic, 2021, 125: 107 562.
    [10] ZHU X X, TUIA D, MOU L C, et al. Deep learning in remote sensing: A comprehensive review and list of resources[J]. IEEE Geosci Remote Sens Mag, 2017, 5(4): 8-36.
    [11] DENG Z P, SUN H, ZHOU S L, et al. Multi-scale object detection in remote sensing imagery with convolutional neural networks[J]. ISPRS J Photogramm Remote Sens, 2018, 145: 3-22.
    [12] LI J X, PAN Z F, LIU Q S, et al. Stacked U-shape network with channel-wise attention for salient object detection[J]. IEEE Trans Multimedia, 2020, 23: 1 397-1 409.
    [13] 匡秋明, 沈晨凯, 于廷照, 等. 多尺度残差金字塔网络模型三维气象要素降尺度研究[J]. 大气科学学报, 2022, 45(5): 660-673.
    [14] LI X, ZHOU Y Y, SHA J, et al. Using a two-step downscaling method to assess the impact of climate change on total nitrogen load in a small basin[J]. J Hydrol, 2024, 628: 130 510.
    [15] GU S W, ZHOU Y, ZHAO L, et al. A fast generative adversarial network combined with transformer for downscaling GRACE terrestrial water storage data in Southwestern China[J]. IEEE Trans Geosci Remote Sens, 2024, 62: 1-16.
    [16] VANDAL T, KODRA E, GANGULY S, et al. Deepsd: Generating high resolution climate change projections through single image super-resolution[C]//Proceedings of the 23rd acm sigkdd international conference on knowledge discovery and data mining. 2017, 1 663-1 672.
    [17] DONG C, LOY C C, HE K M, et al. Image super-resolution using deep convolutional networks[J]. IEEE Trans Pattern Analysis Machine Intelligence, 2015, 38(2): 295-307.
    [18] LIU Y, GANGULY A R, DY J. Climate downscaling using YNet: A deep convolutional network with skip connections and fusion[C]// Proceedings of the 26th ACM SIGKDD International Conference on Knowledge Discovery & Data Mining. 2020, 3 145-3 153.
    [19] TEBALDI C, KNUTTI R. The use of the multi-model ensemble in probabilistic climate projections[J]. Philos Trans Royal Soc A: Math, Phys Eng Sci, 2007, 365(1 857): 2 053-2 075.
    [20] DESER C, LEHNER F, RODGERS K B, et al. Insights from Earth system model initial-condition large ensembles and future prospects[J]. Nat Clim Change, 2020, 10(4): 277-286.
    [21] LI P, SHI C, LI Z H, et al. Evaluation of ASTER GDEM using GPS benchmarks and SRTM in China[J]. Int J Remote Sens, 2013, 34(5): 1 744-1 771.
    [22] HE J, YANG K, TANG W J, et al. The first high-resolution meteorological forcing dataset for land process studies over China[J]. Sci Data, 2020, 7: 2 524,
    [23] YANG K, HE J, TANG W J, et al. On downward shortwave and longwave radiations over high altitude regions: Observation and modeling in the Tibetan Plateau[J]. Agric Forest Meteor, 2010, 150: 38-46.
    [24] YANG K, HE J, TANG W J, et al. China meteorological forcing dataset (1979-2018)[Z]. A Big Earth Data Platform for Three Poles, 2019.
    [25] HE K M, ZHANG X Y, REN S Q, et al. Deep residual learning for image recognition[C]//Proceedings of the IEEE conference on computer vision and pattern recognition. 2016, 770-778.
    [26] ODENA A, DUMOULIN V, OLAH C. Deconvolution and checkerboard artifacts[J]. Distill, 2016, 1(10): e3.
    [27] PING B, SU F Z, HAN X X, et al. Applications of deep learning-based super-resolution for sea surface temperature reconstruction[J]. IEEE J Sel Topics Appl Earth Observ Remote Sens, 2020, 14: 887-896.
    [28] SZEGEDY C, VANHOUCKE V, IOFFE S, et al. Rethinking the inception architecture for computer vision[C]//Proceedings of the IEEE conference on computer vision and pattern recognition. 2016, 2 818-2 826.
    [29] HUANG G, LIU Z, VAN DER MAATEN L, et al. Densely connected convolutional networks[C]//Proceedings of the IEEE conference on computer vision and pattern recognition. 2017, 4700-4708.
    [30] 邓酩, 柳庆龙, 侯立宪. 多尺度残差生成对抗网络的图像超分辨率重建[J]. 科学技术与工程, 2023, 23(31): 13 472-13 481.
    [31] CHEN L C, PAPANDREOU G, KOKKINOS I, et al. Deeplab: Semantic image segmentation with deep convolutional nets, atrous convolution, and fully connected crfs[J]. IEEE Trans Pattern Anal Mach Intell, 2017, 40(4): 834-848.
    [32] 李众, 王雅婧, 马巧梅. 基于空洞卷积的医学图像超分辨率重建算法[J]. 计算机应用, 2023, 43(9): 2 940-2 947.
    [33] WOO S, PARK J, LEE J Y, et al. Cbam: Convolutional block attention module[C]//Proceedings of the European conference on computer vision (ECCV). 2018, 3-19.
    [34] SHI W Z, CABALLERO J, HUSZÁR F, et al. Real-time single image and video super-resolution using an efficient sub-pixel convolutional neural network[C]//Proceedings of the IEEE conference on computer vision and pattern recognition. 2016, 1 874-1 883.
    [35] LIM B, SON S, KIM H, et al. Enhanced deep residual networks for single image super-resolution[C]//Proceedings of the IEEE conference on computer vision and pattern recognition workshops. 2017, 136-144.
    [36] LEDIG C, THEIS L, HUSZÁR F, et al. Photo-realistic single image super-resolution using a generative adversarial network[C]// Proceedings of the IEEE conference on computer vision and pattern recognition. 2017, 4 681-4 690.
    [37] ZHANG Y L, TIAN Y P, KONG Y, et al. Residual dense network for image super-resolution[C]//Proceedings of the IEEE conference on computer vision and pattern recognition. 2018, 2 472-2 481.
    [38] LI J C, FANG F M, MEI K F, et al. Multi-scale residual network for image super-resolution[C]//Proceedings of the European conference on computer vision (ECCV). 2018, 517-532.
  • 加载中
图(10) / 表(3)
计量
  • 文章访问数:  4
  • HTML全文浏览量:  1
  • PDF下载量:  0
  • 被引次数: 0
出版历程
  • 收稿日期:  2024-04-19
  • 修回日期:  2024-09-11
  • 网络出版日期:  2025-11-26
  • 刊出日期:  2025-10-20

目录

    /

    返回文章
    返回